Implémentation des arbres en Python
L’objectif de cette partie est d’implémenter la structure d’arbre binaire en Python. Nous allons pour cela utiliser la Programmation Orientée Objet et construire un module réutilisable proposant à l’utilisateur une interface (API) permettant de travailler avec les arbres binaires.
1. Arbres binaires
Une interface souhaitable devrait permettre de :
- Créer un arbre vide ;
- Accéder au sous-arbre gauche et au sous-arbre droit d’un nœud ;
- Accéder à une clef ;
- Tester si un nœud est une feuille ;
- Tester si un arbre est vide ;
- Retourner la taille ;
- Retourner la hauteur.
De plus, il serait souhaitable de parvenir à afficher un arbre de façon visuelle.
Nous avons vu que la structure d’arbre binaire est une structure récursive : cette propriété est exploitée dans l’implémentation que nous allons présenter. Pour définir un arbre, il suffit de définir un nœud racine ainsi que les deux sous-arbres gauche et droite qui sont eux-mêmes des arbres binaires. Cela revient à assimiler un arbre à sa racine associée à un lien vers ses deux fils.
Nous définissons ci-dessous un objet ArbreBinaire possédant trois attributs clef, gauche, droit. Pour respecter les principes de la POO, et notamment la notion d’encapsulation, nous avons défini des méthodes d’accès aux attributs (elles commencent par get) et des méthodes de modification des attributs (elles commencent par set) et on s’interdira tout accès ou affectation direct(e) du type arbre.racine = ....
La méthode setRacine, qui permet de définir la clef d’un nœud assure que chaque nœud a toujours un sous-arbre gauche et un sous-arbre droit, éventuellement vides, ce qui facilite le traitement des arbres dans les algorithmes suivants. On matérialise ici l’aspect récursif de la structure.
class ArbreBinaire:
""" Implémentation de la structure d'arbre binaire """
def __init__(self):
self.racine = None
# les sous-arbres gauche et droit doivent être des
# instances de l'objet ArbreBinaire
self.gauche = None
self.droit = None
def setRacine(self, racine):
"""définit la clef de la racine de l'instance
et crée les sous arbres vides gauches et droits"""
self.racine = racine
if self.gauche is None:
self.gauche = ArbreBinaire()
if self.droit is None:
self.droit = ArbreBinaire()
def getRacine(self):
"""retourne la clef de la racine de l'arbre"""
return self.racine
def getSousArbreGauche(self):
return self.gauche
def setSousArbreGauche(self, arbre):
if isinstance(arbre, ArbreBinaire):
self.gauche = arbre
def getSousArbreDroit(self):
return self.droit
def setSousArbreDroit(self, arbre):
if isinstance(arbre, ArbreBinaire):
self.droit = arbre
def estVide(self) -> bool:
return self.racine is None
def estFeuille(self) -> bool:
if self.estVide():
return False
else:
return self.gauche.estVide() and self.droit.estVide()
def __str__(self):
if self.estVide():
return "()"
elif self.estFeuille():
return f"('{self.racine}', (), ())"
else:
return f"('{self.racine}', {self.gauche.__str__()}, {self.droit.__str__()})"La classe est complétée par une méthode estVide permettant de tester si un arbre est vide ou non et une méthode estFeuille permettant de tester si un nœud est une feuille ou non (on confond un nœud avec un arbre de hauteur 1).
La dernière méthode est la méthode spéciale __str__ qui définit la façon dont un arbre va être affiché par la fonction print. Ici, on a choisi un affichage sous forme de tuple du type (clef, sous-arbre gauche, sous-arbre droit).
Pour créer un module, on enregistre le code ci-dessus dans un fichier nommé par exemple structures.py.
On peut ensuite utiliser notre nouvelle structure dans un autre fichier Python (dans le même dossier), ou dans la console interactive, en important le module :
from structures import *
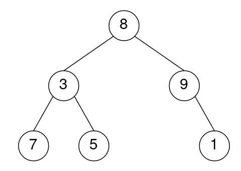
a = ArbreBinaire()
a.setRacine(8)
a.getSousArbreGauche().setRacine(3)
a.getSousArbreDroit().setRacine(9)
b = a.getSousArbreGauche()
c = a.getSousArbreDroit()
b.getSousArbreGauche().setRacine(7)
b.getSousArbreDroit().setRacine(5)
c.getSousArbreDroit().setRacine(1)
print(a)On obtient en sortie :
>>> (8, (3, (7, (), ()), (5, (), ())), (9, (), (1, (), ())))Cela correspond à l’arbre représenté ci-dessous :
On peut tester les autres méthodes dans la console :
print(c)
>>> (9, (), (1, (), ()))
c.getSousArbreGauche().estVide()
>>> True
c.estFeuille()
>>> False
c.getSousArbreDroit().estFeuille()
>>> TrueNous pouvons maintenant ajouter au fichier structures.py les deux fonctions suivantes (en dehors de la classe ArbreBinaire, car ce ne sont pas des méthodes) qui retournent respectivement la taille et la hauteur d’un arbre binaire.
def taille(arbre) -> int:
"""Retourne la taille de l'arbre, càd son nombre de noeuds"""
if arbre.racine is None:
return 0
else:
return 1 + taille(arbre.gauche) + taille(arbre.droit)
def hauteur(arbre) -> int:
"""Retourne la hauteur de l'arbre"""
if arbre.racine is None:
return 0
else:
return 1 + max(hauteur(arbre.gauche), hauteur(arbre.droit))Prendre le temps de bien comprendre comment fonctionnent ces deux fonctions…
taille(a)
>>> 6
hauteur(a)
>>> 3Ce module structures sera utilisé en exercices et plus tard dans l’année lorsque nous étudierons les algorithmes sur les arbres.
2. Arbres binaires de recherche (ABR)
Les ABR sont des arbres binaires. Nous pouvons donc créer une classe ABR fille de la classe ArbreBinaire en utilisant la notion d’héritage et de polymorphisme de la POO (voir les compléments de cours à ce sujet). Nous définissons une méthode spécifique : l’insertion d’une clef. Cette méthode ajoute une clef à un ABR existant en s’assurant que l’arbre obtenu est toujours un ABR (le nouveau nœud est toujours une feuille).
class ABR(ArbreBinaire):
""" Implémentation de la structure d'arbre binaire de recherche """
def __init__(self):
super().__init__()
def setRacine(self, racine):
"""définit la clef de la racine de l'instance
et crée les sous arbres vides gauches et droits
Provoque une erreur si la racine casse la structure d'ABR"""
self.racine = racine
if self.gauche is None:
self.gauche = ABR()
if self.droit is None:
self.droit = ABR()
if not estABR(self):
raise Exception("Cette affectation de clef casse la structure ABR !!!")
def insere(self, racine):
"""insère une clef dans l'arbre en préservant la structure ABR"""
if self.racine is None:
self.racine = racine
self.gauche = ABR()
self.droit = ABR()
else:
if racine < self.racine:
self.gauche.insere(racine)
else:
self.droit.insere(racine)Pour définir un arbre binaire de recherche valide, on utilisera toujours la méthode insere, car elle permet de s’assurer de toujours conserver un ABR.
Pour faciliter la vérification, nous définissons une fonction estABR qui peut s’appliquer aussi bien à un arbre binaire quelconque qu’à un ABR et qui retourne True si l’arbre est un ABR et False sinon.
def estABR(arbre, mini=-float("inf"), maxi=+float("inf")) -> bool:
if arbre.getRacine() is None:
return True
else:
return estABR(arbre.getSousArbreGauche(), mini, arbre.getRacine()) and
estABR(arbre.getSousArbreDroit(), arbre.getRacine(), maxi) and
mini < arbre.racine < maxiPrendre le temps de bien comprendre cette fonction…
Utilisation :
from structures import *
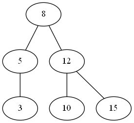
a = ABR()
a.setRacine(8)
a.insere(5)
a.insere(3)
a.insere(12)
a.insere(10)
a.insere(15)
print(a)
print(estABR(a))
# Affectation directe à proscrire :
# a.getSousArbreDroit().setRacine(1) ## provoque une erreurSortie :
(8, (5, (3, (), ()), ()), (12, (10, (), ()), (15, (), ())))
TrueL’arbre correspond à :
Le module structure.py est à conserver : il sera utilisé en exercices et dans les chapitres suivants.
On peut ajouter une fonctionnalité de représentation graphique d’un arbre en utilisant les bibliothèques networkx et matplotlib. Ajouter la fonction ci-dessous au fichier structures.py :
import networkx as nx
import matplotlib.pyplot as plt
def afficheArbre(arbre, size=(4,4), null_node=False):
"""
size : tuple de 2 entiers. Si size est int -> (size, size)
null_node : si True, trace les liaisons vers les sous-arbres vides
"""
arbreAsTuple = eval(arbre.__str__())
def parkour(arbre, noeuds, branches, labels, positions, profondeur,
pos_courante, pos_parent, null_node):
if arbre != ():
noeuds[0].append(pos_courante)
positions[pos_courante] = (pos_courante, profondeur)
profondeur -= 1
labels[pos_courante] = str(arbre[0])
branches[0].append((pos_courante, pos_parent))
pos_gauche = pos_courante - 2 ** profondeur
parkour(arbre[1], noeuds, branches, labels, positions, profondeur,
pos_gauche, pos_courante, null_node)
pos_droit = pos_courante + 2 ** profondeur
parkour(arbre[2], noeuds, branches, labels, positions, profondeur,
pos_droit, pos_courante, null_node)
elif null_node:
noeuds[1].append(pos_courante)
positions[pos_courante] = (pos_courante, profondeur)
branches[1].append((pos_courante, pos_parent))
if arbreAsTuple == ():
return
branches = [[]]
profondeur = hauteur(arbre)
pos_courante = 2 ** profondeur
noeuds = [[pos_courante]]
positions = {pos_courante: (pos_courante, profondeur)}
labels = {pos_courante: str(arbreAsTuple[0])}
if null_node:
branches.append([])
noeuds.append([])
profondeur -= 1
parkour(arbreAsTuple[1], noeuds, branches, labels, positions, profondeur,
pos_courante - 2 ** profondeur, pos_courante, null_node)
parkour(arbreAsTuple[2], noeuds, branches, labels, positions, profondeur,
pos_courante + 2 ** profondeur, pos_courante, null_node)
mon_arbre = nx.Graph()
if type(size) == int:
size = (size, size)
plt.figure(figsize=size)
nx.draw_networkx_nodes(mon_arbre, positions, nodelist=noeuds[0],
node_color="white", node_size=550, edgecolors="blue")
nx.draw_networkx_edges(mon_arbre, positions, edgelist=branches[0],
edge_color="black", width=2)
nx.draw_networkx_labels(mon_arbre, positions, labels)
if null_node:
nx.draw_networkx_nodes(mon_arbre, positions, nodelist=noeuds[1],
node_color="white", node_size=50, edgecolors="grey")
nx.draw_networkx_edges(mon_arbre, positions, edgelist=branches[1],
edge_color="grey", width=1)
ax = plt.gca()
ax.margins(0.1)
plt.axis("off")
plt.show()
plt.close()Utilisation :
from structures import *
a = ABR()
a.setRacine(8)
a.insere(5)
a.insere(3)
a.insere(12)
a.insere(10)
a.insere(15)
afficheArbre(a)Sortie :

